SciPost Physics

@physics@scipost.social

New #openaccess publication #SciPost #Physics

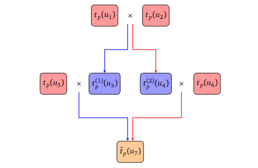
Fusion approach for quantum integrable system associated with the gl(1|1) Lie superalgebra

Xiaotian Xu, Wuxiao Wen, Tao Yang, Xin Zhang, Junpeng Cao
SciPost Phys. 20, 062 (2026)
scipost.org/SciPostPhys.20.2.0

#PengHuanwuCenter #NWU #SKLTPF #FundamentalDisciplineResearchCenterShaanxi #CAS #UCAS
#KeyRDShaanxi

February 26, 2026 at 11:28:28 AM

Elk Logo

Elk is in Preview!

Thanks for your interest in trying out Elk, our work-in-progress Mastodon web client!

Expect some bugs and missing features here and there. we are working hard on the development and improving it over time.

Elk is Open Source. If you'd like to help with testing, giving feedback, or contributing, reach out to us on GitHub and get involved.

To boost development, you can sponsor the Team through GitHub Sponsors. We hope you enjoy Elk!

Anthony FuPatakDaniel Roe三咲智子 Kevin Deng

The Elk Team